
全套PPT教案试题(送电子课本)
【展示课】
21.1.1一元二次方程 PPT:




















21.1.1一元二次方程 教案:
教学内容
一元二次方程概念及一元二次方程一般式及有关概念.
教学目标
了解一元二次方程的概念;一般式ax2+bx+c=0(a≠0)及其派生的概念;应用一元二次方程概念解决一些简单题目.
1.通过设置问题,建立数学模型,模仿一元一次方程概念给一元二次方程下定义.
2.一元二次方程的一般形式及其有关概念.
3.解决一些概念性的题目.
4.通过生活学习数学,并用数学解决生活中的问题来激发学生的学习热情.
重难点关键
1.重点:一元二次方程的概念及其一般形式和一元二次方程的有关概念并用这些概念解决问题.
2.难点关键:通过提出问题,建立一元二次方程的数学模型,再由一元一次方程的概念迁移到一元二次方程的概念.
教学过程
一、复习引入
学生活动:列方程.
问题(1)古算趣题:“执竿进屋”
笨人执竿要进屋,无奈门框拦住竹,横多四尺竖多二,没法急得放声哭。
有个邻居聪明者,教他斜竿对两角,笨伯依言试一试,不多不少刚抵足。
借问竿长多少数,谁人算出我佩服。
如果假设门的高为x尺,那么,这个门的宽为_______尺,长为_______尺,根据题意,得________.整理、化简,得:__________.
二、探索新知
学生活动:请口答下面问题.
(1)上面三个方程整理后含有几个未知数?
(2)按照整式中的多项式的规定,它们最高次数是几次?
(3)有等号吗?还是与多项式一样只有式子?
老师点评:(1)都只含一个未知数x;(2)它们的最高次数都是2次的;(3)都有等号,是方程.
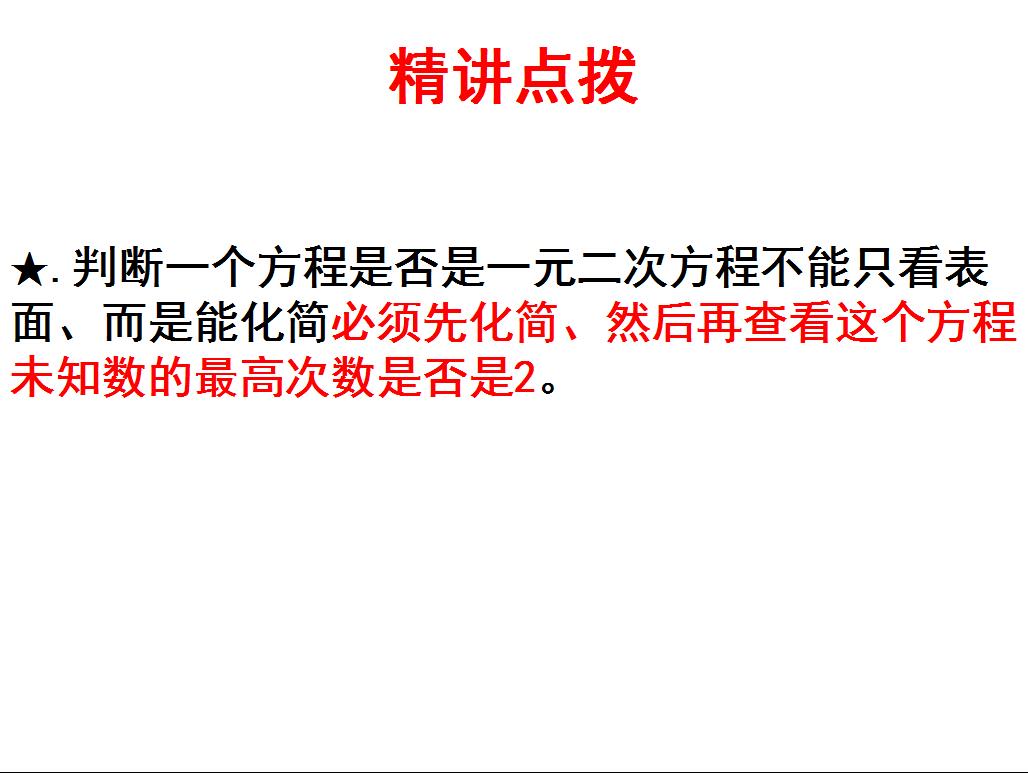
因此,像这样的方程两边都是整式,只含有一个未知数(一元),并且未知数的最高次数是2(二次)的方程,叫做一元二次方程.
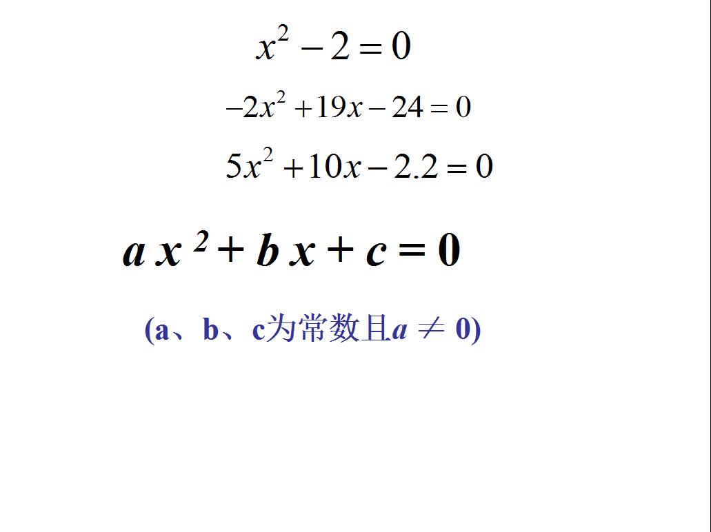
一般地,任何一个关于x的一元二次方程,经过整理,都能化成如下形式ax2+bx+c=0(a≠0).这种形式叫做一元二次方程的一般形式.
一个一元二次方程经过整理化成ax2+bx+c=0(a≠0)后,其中ax2是二次项,a是二次项系数;bx是一次项,b是一次项系数;c是常数项.
例1.将方程3x(x-1)=5(x+2)化成一元二次方程的一般形式,并写出其中的二次项系数、一次项系数及常数项.
分析:一元二次方程的一般形式是ax2+bx+c=0(a≠0).因此,方程3x(x-1)=5(x+2)必须运用整式运算进行整理,包括去括号、移项等.
解:略
注意:二次项、二次项系数、一次项、一次项系数、常数项都包括前面的符号.
例2.(学生活动:请二至三位同学上台演练) 将方程(x+1)2+(x-2)(x+2)=1化成一元二次方程的一般形式,并写出其中的二次项、二次项系数;一次项、一次项系数;常数项.
分析:通过完全平方公式和平方差公式把(x+1)2+(x-2)(x+2)=1化成ax2+bx+c=0(a≠0)的形式.
解:略
三、巩固练习
教材 练习1、2
补充练习:判断下列方程是否为一元二次方程?
(1)3x+2=5y-3 (2) x2=4 (3) 3x2-=0 (4) x2-4=(x+2) 2 (5) ax2+bx+c=0
四、应用拓展
例3.求证:关于x的方程(m2-8m+17)x2+2mx+1=0,不论m取何值,该方程都是一元二次方程.
分析:要证明不论m取何值,该方程都是一元二次方程,只要证明m2-8m+17≠0即可.
证明:m2-8m+17=(m-4)2+1
∵(m-4)2≥0
∴(m-4)2+1>0,即(m-4)2+1≠0
∴不论m取何值,该方程都是一元二次方程.
练习: 1.方程(2a—4)x2—2bx+a=0, 在什么条件下此方程为一元二次方程?在什么条件下此方程为一元一次方程?
2.当m为何值时,方程(m+1)x/4m/-4+27mx+5=0是关于的一元二次方程
五、归纳小结(学生总结,老师点评)
本节课要掌握:
(1)一元二次方程的概念;(2)一元二次方程的一般形式ax2+bx+c=0(a≠0)和二次项、二次项系数,一次项、一次项系数,常数项的概念及其它们的运用.
六、布置作业
21.1.1一元二次方程 试题:



